Skip to content Skip to sidebar Skip to footer

Thiamine Pyrophosphate - Thiamine Pyrophosphate An Overview Sciencedirect Topics _ Scientific opinion of the panel on food additives and nutrient sources added to food (ans).

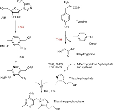
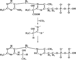
Thiamine Pyrophosphate - Thiamine Pyrophosphate An Overview Sciencedirect Topics _ Scientific opinion of the panel on food additives and nutrient sources added to food (ans).. Jun 03, 2021 · wikipedia(thiamine_pyrophosphate) "thiamine pyrophosphate (tpp or thpp), or thiamine diphosphate (thdp), or cocarboxylase1 is a thiamine (vitamin b1) derivative which is produced by the enzyme thiamine diphosphokinase. Jun 01, 2021 · thiamine combines with adenosine triphosphate (atp) to form thiamine pyrophosphate, also known as cocarboxylase, a coenzyme. We are a leading supplier to the global life science industry with solutions and services for research, biotechnology development and production, and pharmaceutical drug therapy development and production. Thiamine pyrophosphate (vitamin b1 pyrophosphate) solution. Thiamine pyrophosphate is a cofactor that is present in all living systems, in which it catalyzes several biochemical reactions.

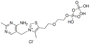
However, the precise sensitivity and specificity for those assays has not been established. Jun 01, 2021 · thiamine combines with adenosine triphosphate (atp) to form thiamine pyrophosphate, also known as cocarboxylase, a coenzyme. Thiamine pyrophosphate is a cofactor that is present in all living systems, in which it catalyzes several biochemical reactions. C 12 h 19 cln 4 o 7 p 2. America's favorite mix is a staple for any pantry, as it compliments any barbeque or chili dish.

Thiamine Pyrophosphate Unraveling Science
Thiamine Pyrophosphate Unraveling Science from scienceunraveled.files.wordpress.com
However, the precise sensitivity and specificity for those assays has not been established. Benfotiamine, thiamine monophosphate chloride and thiamine pyrophosphate chloride, as sources of vitamin b1 added for nutritional purposes to food supplements: Thiamine pyrophosphate (tpp or thpp), or thiamine diphosphate (thdp), or cocarboxylase is a thiamine (vitamin b 1) derivative which is produced by the enzyme thiamine diphosphokinase. America's favorite mix is a staple for any pantry, as it compliments any barbeque or chili dish. Jun 01, 2021 · thiamine combines with adenosine triphosphate (atp) to form thiamine pyrophosphate, also known as cocarboxylase, a coenzyme. Scientific opinion of the panel on food additives and nutrient sources added to food (ans). Thiamine pyrophosphate (vitamin b1 pyrophosphate) solution. Aguilar f, charrondiere ur, dusemund b, galtier p, gilbert j, gott dm, et al.

America's favorite mix is a staple for any pantry, as it compliments any barbeque or chili dish.

However, the precise sensitivity and specificity for those assays has not been established. Jun 01, 2021 · thiamine combines with adenosine triphosphate (atp) to form thiamine pyrophosphate, also known as cocarboxylase, a coenzyme. Thiamine pyrophosphate (vitamin b1 pyrophosphate) solution. C 12 h 19 cln 4 o 7 p 2. Benfotiamine, thiamine monophosphate chloride and thiamine pyrophosphate chloride, as sources of vitamin b1 added for nutritional purposes to food supplements: We are a leading supplier to the global life science industry with solutions and services for research, biotechnology development and production, and pharmaceutical drug therapy development and production. Thiamine pyrophosphate (tpp or thpp), or thiamine diphosphate (thdp), or cocarboxylase is a thiamine (vitamin b 1) derivative which is produced by the enzyme thiamine diphosphokinase. Scientific opinion of the panel on food additives and nutrient sources added to food (ans). Testing must be performed before thiamine supplementation is given. Thiamine pyrophosphate is a cofactor that is present in all living systems, in which it catalyzes several biochemical reactions. Description "jiffy" corn muffin mix bakes into a golden, delicious muffin or sweet cornbread. Aguilar f, charrondiere ur, dusemund b, galtier p, gilbert j, gott dm, et al. America's favorite mix is a staple for any pantry, as it compliments any barbeque or chili dish.

Jun 01, 2021 · thiamine combines with adenosine triphosphate (atp) to form thiamine pyrophosphate, also known as cocarboxylase, a coenzyme. Thiamine pyrophosphate (vitamin b1 pyrophosphate) solution. C 12 h 19 cln 4 o 7 p 2. Aguilar f, charrondiere ur, dusemund b, galtier p, gilbert j, gott dm, et al. Description "jiffy" corn muffin mix bakes into a golden, delicious muffin or sweet cornbread.

Thiamine Pyrophosphate Chloride Salt 154 87 0 Metabolites Alsachim
Thiamine Pyrophosphate Chloride Salt 154 87 0 Metabolites Alsachim from www.alsachim.com
America's favorite mix is a staple for any pantry, as it compliments any barbeque or chili dish. However, the precise sensitivity and specificity for those assays has not been established. Aguilar f, charrondiere ur, dusemund b, galtier p, gilbert j, gott dm, et al. Thiamine pyrophosphate (vitamin b1 pyrophosphate) solution. C 12 h 19 cln 4 o 7 p 2. Jun 01, 2021 · thiamine combines with adenosine triphosphate (atp) to form thiamine pyrophosphate, also known as cocarboxylase, a coenzyme. Testing must be performed before thiamine supplementation is given. Thiamine pyrophosphate (tpp or thpp), or thiamine diphosphate (thdp), or cocarboxylase is a thiamine (vitamin b 1) derivative which is produced by the enzyme thiamine diphosphokinase.

Description "jiffy" corn muffin mix bakes into a golden, delicious muffin or sweet cornbread.

Thiamine pyrophosphate (tpp or thpp), or thiamine diphosphate (thdp), or cocarboxylase is a thiamine (vitamin b 1) derivative which is produced by the enzyme thiamine diphosphokinase. Testing must be performed before thiamine supplementation is given. Description "jiffy" corn muffin mix bakes into a golden, delicious muffin or sweet cornbread. Benfotiamine, thiamine monophosphate chloride and thiamine pyrophosphate chloride, as sources of vitamin b1 added for nutritional purposes to food supplements: Jun 01, 2021 · thiamine combines with adenosine triphosphate (atp) to form thiamine pyrophosphate, also known as cocarboxylase, a coenzyme. C 12 h 19 cln 4 o 7 p 2. America's favorite mix is a staple for any pantry, as it compliments any barbeque or chili dish. Aguilar f, charrondiere ur, dusemund b, galtier p, gilbert j, gott dm, et al. Scientific opinion of the panel on food additives and nutrient sources added to food (ans). However, the precise sensitivity and specificity for those assays has not been established. Thiamine pyrophosphate (vitamin b1 pyrophosphate) solution. Thiamine pyrophosphate is a cofactor that is present in all living systems, in which it catalyzes several biochemical reactions. We are a leading supplier to the global life science industry with solutions and services for research, biotechnology development and production, and pharmaceutical drug therapy development and production.

C 12 h 19 cln 4 o 7 p 2. However, the precise sensitivity and specificity for those assays has not been established. Thiamine pyrophosphate (vitamin b1 pyrophosphate) solution. Aguilar f, charrondiere ur, dusemund b, galtier p, gilbert j, gott dm, et al. Jun 01, 2021 · thiamine combines with adenosine triphosphate (atp) to form thiamine pyrophosphate, also known as cocarboxylase, a coenzyme.

Saccharomyces Cerevisiae Thi4p Is A Suicide Thiamine Thiazole Synthase Nature
Saccharomyces Cerevisiae Thi4p Is A Suicide Thiamine Thiazole Synthase Nature from media.springernature.com
Scientific opinion of the panel on food additives and nutrient sources added to food (ans). America's favorite mix is a staple for any pantry, as it compliments any barbeque or chili dish. Thiamine pyrophosphate is a cofactor that is present in all living systems, in which it catalyzes several biochemical reactions. Jun 01, 2021 · thiamine combines with adenosine triphosphate (atp) to form thiamine pyrophosphate, also known as cocarboxylase, a coenzyme. Jun 03, 2021 · wikipedia(thiamine_pyrophosphate) "thiamine pyrophosphate (tpp or thpp), or thiamine diphosphate (thdp), or cocarboxylase1 is a thiamine (vitamin b1) derivative which is produced by the enzyme thiamine diphosphokinase. Testing must be performed before thiamine supplementation is given. Benfotiamine, thiamine monophosphate chloride and thiamine pyrophosphate chloride, as sources of vitamin b1 added for nutritional purposes to food supplements: We are a leading supplier to the global life science industry with solutions and services for research, biotechnology development and production, and pharmaceutical drug therapy development and production.

Benfotiamine, thiamine monophosphate chloride and thiamine pyrophosphate chloride, as sources of vitamin b1 added for nutritional purposes to food supplements:

Thiamine pyrophosphate (vitamin b1 pyrophosphate) solution. However, the precise sensitivity and specificity for those assays has not been established. Description "jiffy" corn muffin mix bakes into a golden, delicious muffin or sweet cornbread. Jun 03, 2021 · wikipedia(thiamine_pyrophosphate) "thiamine pyrophosphate (tpp or thpp), or thiamine diphosphate (thdp), or cocarboxylase1 is a thiamine (vitamin b1) derivative which is produced by the enzyme thiamine diphosphokinase. Testing must be performed before thiamine supplementation is given. C 12 h 19 cln 4 o 7 p 2. Aguilar f, charrondiere ur, dusemund b, galtier p, gilbert j, gott dm, et al. Thiamine pyrophosphate (tpp or thpp), or thiamine diphosphate (thdp), or cocarboxylase is a thiamine (vitamin b 1) derivative which is produced by the enzyme thiamine diphosphokinase. We are a leading supplier to the global life science industry with solutions and services for research, biotechnology development and production, and pharmaceutical drug therapy development and production. Benfotiamine, thiamine monophosphate chloride and thiamine pyrophosphate chloride, as sources of vitamin b1 added for nutritional purposes to food supplements: Thiamine pyrophosphate is a cofactor that is present in all living systems, in which it catalyzes several biochemical reactions. America's favorite mix is a staple for any pantry, as it compliments any barbeque or chili dish. Scientific opinion of the panel on food additives and nutrient sources added to food (ans).

Testing must be performed before thiamine supplementation is given thiam. Jun 01, 2021 · thiamine combines with adenosine triphosphate (atp) to form thiamine pyrophosphate, also known as cocarboxylase, a coenzyme.